
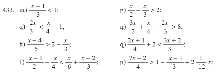
ա)
x-1/3<1
x-1<3×1
x-1<3
x<3+1
x<4
բ)
x/2-x/3>2
3x/6-2x/6>2
x/6>2
x>6×2
x>12
գ)
2x/3<x/4-1
2x/3-x/4<-1
8x/12-3x/12<-1
5x/12<-1
5x<-12
x<-2 2/5
դ)
3x/2+x/6-2x/3>8
9x/6+x/6-4x/6>8
6x>8
6x>48
x>8
ե)
x-4/5>2-x/3
x-4/5+x/3>2
3x-12/15+5x/15>2
8x-12/15>2
8x-12>30
8x>30+12
8x>42
x>5.25
է)
x-1/2-x/4<x/6+x-2/3
x-1/2-x/4+x/6+x-2/3<0
6x-6/12-3x/12+2x/12+4x-8/12<0
6x-6-3x+2x+4x-8<0
6x-3x+2x+4x<0+6+8
9x<14
x<1 5/9
ը)
7x-2/4>1-x-1/3+2 1/12x
7x-2/4+x-1/3-2 1/12x>1
21x-6/12+4x-4/12-25/12x>1
21x-6+4x-4+25x>12
21x+4x+25x>12+6+4
50x>22
x>0.44

ա)
3,1 − 2x ≥ 5,1 − x
-2x+x≥5.1-3.1
-x≥2
բ)
3x − 6 ≤ (1 − 3x) − 2x + 1
3x-6≤1-3x-2x+1
3x+3x+2x≤1+6
8x≤7
x≤7/8
գ)
(2x − 1) − (5 − 3x) ≥ 2 − 5x
2x-1-5+3x ≥2-5x
2x+3x+5x≥2+1+5
10x≥8
x≥8/10
դ)
(x − 2)(x + 2) ≤ 4 − x + x2
x2-4≤4-x+x2
x2+x-x2≤4+4
x≤8

ա)
2x+1/5≥ 2
2x+1≥10
2x≥10-1
2x≥9
x≥4.5
բ)
2x/3-x/6≤1
4x/6-x/6≤1
3x/6≤1
3x≤6
x≤2
գ)
4x+3/2 ≥ 2-2x-1/3
4x+3/2+2x-1/3 ≥2
12x+9/6+4x-2/6≥2
12x+9+4x-2≥12
12x+4x≥12-9+2
16x≥5
x≥5/16
դ)
x/2 + x/3 + x/6 ≤ 5:
3x/6+2x/6+x/6 ≤ 5:
6x≤30
x≤5
Оставить комментарий