
ա) 2+√1
1•1=1
2+1=3
Պատասխան՝ 3
բ) 15-√36
6•6=36
15-6=9
Պատասխան՝ 9
գ) √9+√4
3•3=9
2•2=4
3+2=5
Պատասխան՝ 5
դ) √16+√25
4•4=16
5•5=25
5+4=9
Պատասխան՝ 9
ե) √49-√1
7•7=49
1•1=1
7-1=6
Պատասխան՝ 6
զ) √81-√49
9•9=81
7•7=49
9-7=2
Պատասխան՝ 2
է) √100-√36
10•10=100
6•6=36
10-6=4
Պատասխան՝ 4
ը) √144-√121
12•12=144
11•11=121
12-11=1
Պատասխան՝ 1
թ) √0,36+√0,49
0,6•0,6=0,36
0,7•0,7=0,49
0,7+0,6=
Պատասխան՝ 1,3

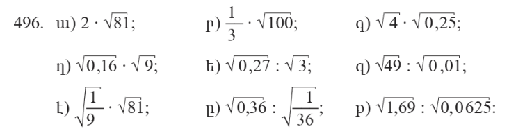
ա) 2•√81
9•9=81
2•9=18
Պատասխան՝ 18
բ) 1/3•√100
10•10=100
1/3•10=10/3
Պատասխան՝ 10/3
գ) √4•√0,25
2•2=4
0,5•0,5=0,25
2•0,5=1
Պատասխան՝ 1
դ) √0,16•√9
0,4•0,4=0,16
3•3=9
0,4+3=3,4
Պատասխան՝ 3,4
ե) √0,27:√3
0,27:3=0,09
0,3•0,3=0,09
Պատասխան՝ 0,3
զ) √49:√0,01
7•7=49
0,1•0,1=0,01
7:0,1=70
Պատասխան՝ 70
է) √1/9•√81
1/3•1/3=1/9
9•9=81
1/3•9=9/3=3
Պատասխան՝ 3
ը) √0,36:√1/36
0,6•0,6=0,36
1/6•1/6=1/36
0,6:1/6=3/5:1/6=3/5•6=18/5=3•3/5=3,6
Պատասխան՝ 3,6
թ) √1,69:√0,0625
1,3•1,3=1,69
0,25•0,25=0,0625
0,3:0,25=1,2
Պատասխան՝ 1,2
Оставить комментарий